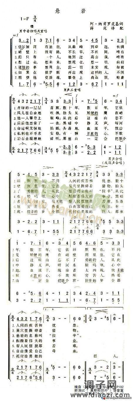
悬岩

艺术家/歌手/词曲: 俄文原唱
图片可能经过缩放,另存可看到原图,在图片上点鼠标右键,选图片另存为,可以保存到你的电脑中.

悬岩

猜你喜欢:

天雁01-19

飞蛾(羽泉)01-19

喜悦01-19

知道(《冬日恋歌》主题曲)01-19

出山01-19

花香01-19

竹笋01-19

一刹01-19

驼铃01-19

遗忘01-19

注:本文为网友上传,旨在传播知识,若有侵权等问题请及时与本网联系,我们将在第一时间删除处理。E-MAIL:xxx@qq.com

客服电话

152xxxx

微信客服

微信客服

QQ交流1群:270xxxx