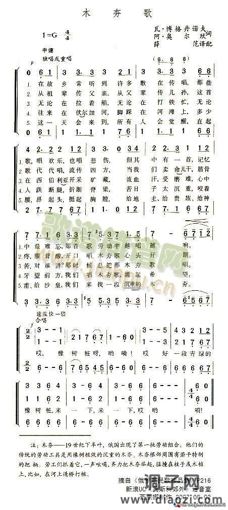
木夯歌

艺术家/歌手/词曲: 俄文原唱
图片可能经过缩放,另存可看到原图,在图片上点鼠标右键,选图片另存为,可以保存到你的电脑中.

木夯歌

猜你喜欢:

在桥下(线、混排版)01-19

延安颂01-19

老阿爸01-19

不了情01-19

笔墨稠01-19

蛤蟆调01-19

旧伤口01-19

长相思01-19

多么美01-19

年年红01-19

注:本文为网友上传,旨在传播知识,若有侵权等问题请及时与本网联系,我们将在第一时间删除处理。E-MAIL:xxx@qq.com

客服电话

152xxxx

微信客服

微信客服

QQ交流1群:270xxxx